Tankschiff-nahe-der-Loreley-gekentert
Hallo User
Da gebe ich User brejpott recht.
Statt die zulässige Ladungsmenge in weniger Tanks zu füllen ,wäre es absolut notwendig gewesen ,die gleiche Menge auf sämtliche zur verfügung stehen Tanks zu verfüllen,weil dadurch der Schwerpunkt erheblich nach unten verlegt wird.
Allerdings weis ich jetzt auf Grund (meine alters)und der wohl größten Einstellung an Beiträgen zum Thema "Waldhof"im Vorum
im Augenblick nicht,ob die Ladung tatsächlich auf weniger Tanks (vier von sieben) verteilt war.
Eine Überschreitung der Ladekapazität mit gleichzeitiger Verfüllung auf weniger Tanks mußte sich ja verhehrend auswirken!
Da frage ich mich, ob da nicht ein ablösender Schiffsführer zur Zeit des Unfalls an Bord war.
Kaum vorstellbar das ein erfahrener Tankerkapitän solch einen Fehler machte!
Grüße Grotefendt
Liste der Anhänge anzeigen (Anzahl: 9)
Tonnen und Kubikmeter
Hallo zusammen,
nach längerer Forums-Abstinenz möchte ich mich heute einmal kurz zurückmelden, weil es offenbar Probleme bei der Berechnung der Zusammenhänge zwischen Masse (umgangssprachlich Gewicht), Volumen und Dichte zu geben scheint.
Auch ich kenne natürlich weder die genauen Werte der Waldhof, noch die ihrer Ladung. Mir geht es darum, den Rechenvorgang transparent zu machen, so daß jederzeit aktuelle Zahlenwerte eingesetzt und ausgewertet werden können.
Zunächst eine Definition der verwendeten Begriffe, ihrer Maßeinheiten und ihres (beispielhaften) Zahlenwertes:
Begriff : Formelzeichen : Maßeinheit : Beispielwert
Tragfähigkeit des Schiffes : T : t : 2.400t
Anzahl Tanks : N : - : 7
Volumen allgemein : V : cbm :
Dichte allgemein : D : t/cbm :
Dichte lt. Zulassung : Dz : t/cbm : 1,3t/cbm
Erlaubter Füllungsgrad lt. Zulassung : Fz : % : 97%
Dichte der Ladung: Dl : t/cbm : 1,85t/cbm
Erlaubter Füllungsgrad der Ladung : Fl : % : 95%
Anm.:
- ich verwende hier die nicht zugelassene Einheit cbm für Kubikmeter, weil ich die Möglichkeit m3 zu spät gesehen habe.
- grundsätzlich sind die Werte mit ihren Maßeinheiten in die Formeln einzusetzen; durch Wegkürzen gleicher Maßeinheiten entsteht automatisch die richtige Maßeinheit des Ergebnisses!
Unter der Annahme, daß die Tragfähigkeit mit den Zulassungswerten voll ausgeschöpft wird berechnet man zunächst das verfügbare Gesamtvolumen (Ergebnisse gerundet):
Volumen der Zulassungsflüssigkeit: Anhang 261595
Gesamtvolumen des Schiffes: Anhang 261596
Volumen eines Tanks: Anhang 261597
Jetzt zu den Ladungswerten:
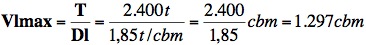
Maximales Ladungsvolumen (Tragfähigkeit erreicht): Anhang 261598
a) ungleichmäßige Verteilung der Ladung auf die Tanks
Fassungsvermögen eines Tanks: Anhang 261599
Anzahl benötigter Tanks: Anhang 261600
In diesem Fall schöpfen also 5 bis zur Grenze des Zulässigen befüllte Tanks die Tragfähigkeit voll aus.
b) gleichmäßige Verteilung der Ladung auf die Tanks
Inhalt jedes Tanks: Anhang 261601
Füllungsgrad jedes Tanks: Anhang 261602
In einem vorhergehenden Beitrag taucht der Begriff der "relativen Dichte" auf. Sie ist definiert als das Verhältnis zweier Dichten.
Ein Vergleich der relativen Dichten zweier Stoffe ist nur sinnvoll, wenn sie auf die gleiche Bezugsdichte bezogen sind, ansonsten ergeben nur die tatsächlichen Stoffdichten die richtigen Werte. Die relative Dichte hat daher keine physikalische Maßeinheit, ebenso wie z.B. die Anzahl.
Ich vermute, die relative Dichte dient in der Praxis dazu, um die Temperaturabhängigkeit der Dichte einer bestimmten Ladeflüssigkeit zu berücksichtigen.
Möglicherweise hat sie ihren Grund aber auch darin, daß die Tragfähigkeit des Wassers (Süß-/Brack-/Salzwasser) zu berücksichtigen ist? Darüber wissen die Profis sicher mehr.
Gruß
Norbert